Product Description
Naming of the Servo Motor

| Symbol | Instruction | Naming instance |
| ① | Product category | SV: Servo system product |
| ② | Product series | M: M series C: C series S: S series |
| ③ | Inertial class | L: Small inertia general servo motor M: Medium inertia general servo motor H: Large inertia general servo motor |
| ④ | Base no. | 04: 40mm(2) 06: 60mm 08: 80mm 11: 110mm 13: 130mm 18: 180mm 20: 200mm 26: 263mm |
| ⑤ | Rated power | 0R1: 100W 0R2: 200W 0R4: 400W 0R7: 750W 0R8: 800W/850W 1R0: 1.0kW 1R2: 1.2kW 1R3: 1.3kW 1R5: 1.5kW 1R8: 1.8kW 2R0: 2.0kW 3R0: 3.0kW 4R4: 4.4kW 5R5: 5.5kW 7R5: 7.5kW 011: 11kW 015: 15kW 022: 22kW 037: 37kW 045: 45kW 055: 55kW …… |
| ⑥ | Rated speed | A: 1000rpm B: 1500rpm E: 2000rpm F: 2500rpm G: 3000rpm |
| ⑦ | Voltage class | 2: 220VAC 4: 380VAC |
| ⑧ | Encoder type | 1: 2500-PPR standard incremental type 3: 17-bit single-turn absolute value(1) 4: 17-bit multi-turn absolute value 7: Rotary transformer 9: 23-bit multi-turn absolute value |
| ⑨ | Shaft end connection | A: solid with threaded hole and key (standard) B: Solid optical axis |
| ⑩ | Optional part | 0: with oil seal but no brake 1: without oil seal or brake(3) 2: with oil seal and permanent magnet brake 3: without oil seal but with permanent magnet brake(3) 4: with oil seal and electromagnetic brake 5: without oil seal but with electromagnetic brake(3) |
| ⑪ | Lot no. | Manufacturer lot no.(4) |
Remark:
(1): 17-bit absolute single turn motor belongs to a separate series and its dimension and parameters
are different. Only electromagnetic brake is used. Please pay attention to corresponding series when
selecting models;
(2): 40-base motor, only supports 2500-PPR and 17-bit absolute encoder;
(3): Non-stock up model, the ordering cycle will be delayed for 3–5 days;
(4): No need to fill in for the first-time model selection by customers;
In addition, the non-17 bit single-turn absolute motor with 40 or 60 base supports permanent magnet
brake only.
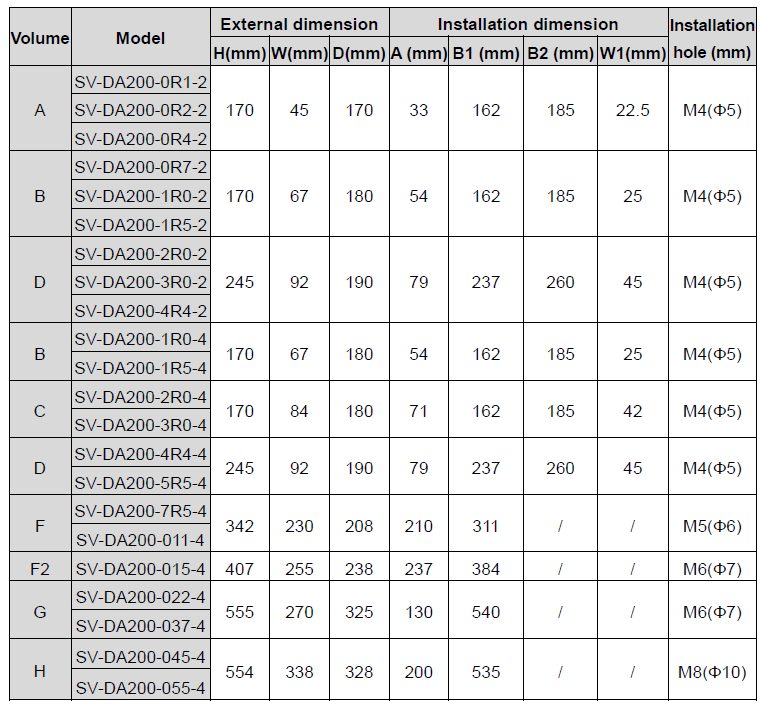
Installation instruction





Detailed dimension table

Technical parameters of servo motor
Motor specification (2500-PPR/multi-turn absolute /rotary transformer)


Motor specification (17-bit single-turn absolute value)
